Phân tích chi phí của doanh nghiệp
Phân tích chi phí của doanh nghiệp Khi tiến hành các hoạt động của doanh…
Phân tích chi phí của doanh nghiệp Khi tiến hành các hoạt động của doanh nghiệp, mục tiêu của hầu hết các doanh nghiệp là “tối đa hóa lợi nhuận”. Lợi nhuận của doanh nghiệp được hiểu nôm na bằng tổng doanh thu trừ tổng chi phí. Trước hết, phải phân tích chi phí của…
Ta đã biết, sự lựa chọn của người tiêu dùng dựa trên các yếu tố chính là thu nhập, giá cả và sở thích. Các yếu tố thu nhập, giá cả tạo cho chúng ta đường ngân sách, yếu tố sở thích được mô tả bằng đường bàng quan. Những yếu tố này thay đổi…
Đường ngân sách (Budget line) Khi phân tích đường cầu – cung của một loại hàng hóa, ta xét đến các yếu tố làm thay đổi đường cung và đường cầu. Các yếu tố quan trong gồm sở thích, giá cả hàng hóa và thu nhập của người tiêu dùng. Trong đó, đường bàng quan…
Khái niệm đường bàng quan Trước khi tìm hiểu khái niệm “đường bàng quan“, ta phải hiểu sở thích của người tiêu dùng là gì? Sở thích người tiêu dùng là những hàng hóa, dịch vụ thỏa mãn nhu cầu về tính lợi ích của mình. Khi cùng một loại hàng hóa, có người thích,…
Giá trần và giá sàn – Công cụ kiểm soát giá trong nền kinh tế thị trường Trong nền kinh tế thị trường hiện đại, khi cung – cầu (Supply & Demand) không tự cân bằng, Nhà nước thường áp dụng các biện pháp kiểm soát giá. Hai công cụ phổ biến nhất là giá…
Vai trò của Thuế trong điều tiết thị trường là yếu tố cốt lõi giúp duy trì sự ổn định kinh tế, bảo vệ lợi ích cộng đồng và thúc đẩy tăng trưởng bền vững. Thị trường tự do thường xuyên đối mặt với những lạm phát, thất nghiệp, độc quyền,… Nhà nước thông qua các…
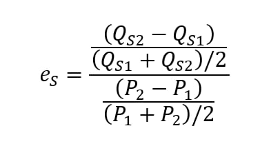
Độ co giãn của cung (Price Elasticity of Supply) Trong kinh tế học, các quy luật cung cầu cho ta biết khi biến động giá, đường cầu và đường cung sẽ tăng giảm tùy thuộc. Tuy nhiên, trong thực tế, các nhà kinh doanh hoặc nhà hoạch định tài chính cần xác định lượng cung % gần đúng…
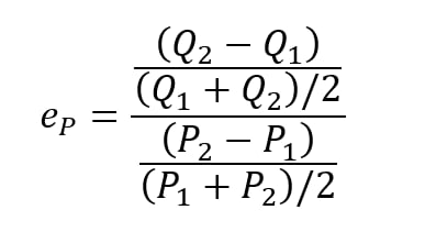
Độ co giãn của cầu (Price Elasticity of Demand) Trong kinh tế học, các quy luật cung cầu cho ta biết khi biến động giá, đường cầu và đường cung sẽ tăng giảm tùy thuộc. Tuy nhiên, trong thực tế, các nhà kinh doanh hoặc hoạch định tài chính cần xác định lượng cầu %…
Khi kết hợp đường cung và đường cầu vào đồ thị, dịch chuyển đường cung – cầu cho ta thấy giá và sản lượng cân bằng sẽ bị thay đổi. Trong kinh tế học vi mô, đường cung và đường cầu là hai công cụ quan trọng để phân tích sự vận động của thị trường….
Tương tự như những yếu tố làm dịch chuyển đường cầu, cũng có nhiều yếu tố làm dịch chuyển đường cung. Tuy không nêu được hết tất cả các yếu tố, nhưng ở đây có thể nêu một vài yếu tố chủ yếu làm dịch chuyển đường cung bao gồm: Chi phí sản xuất, trình độ…