Độ co giãn của cầu (Price Elasticity of Demand)

Độ co giãn của cầu 3

Độ co giãn của cầu (Price Elasticity of Demand)

Trong kinh tế học, các quy luật cung cầu cho ta biết khi biến động giá, đường cầuđường cung sẽ tăng giảm tùy thuộc. Tuy nhiên, trong thực tế, các nhà kinh doanh hoặc hoạch định tài chính cần xác định lượng cầu % gần đúng khi giá hàng hóa thay đổi. 

Ví dụ 1: Doanh nghiệp sản xuất phân bón muốn biết rằng, nếu giá phân bón tăng thêm 5% thì người tiêu dùng sẽ phản ứng như thế nào, doanh nghiệp phải giải quyết các câu hỏi sau:

  • Lượng hàng bán ra sẽ giảm đi hoặc tăng lên bao nhiêu %?
  • Nếu hàng hóa bán ra giảm đi 15% thì doanh nghiệp có nên tăng giá không?
  • Nếu hàng hóa bán ra giảm đi 2% thì doanh nghiệp có tăng giá không?
  • Đâu là lợi nhuận gộp mà doanh nghiệp mong muốn?

Những điều trên đòi hỏi doanh nghiệp phải phân tích vấn đề, Độ co giãn của cầu là thước đo và lời giải cho các câu hỏi trên:

Độ co giãn của cầu

Ta đã biết những yếu tố làm dịch chuyển đường cầu gồm: Thu nhập, sở thích, dự kiến giá tăng giảm của người tiêu dùng, giá cả.

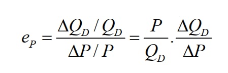
  • Độ co giãn của cầu theo giá (Price Elasticity of Demand)

Độ co giãn của cầu theo giá cho ta biết mức độ thay đổi % lượng cầu khi giá thay đổi. Nó được đo bằng tỷ số thay đổi lượng cầu với thay đổi mức giá. Ta có:

Độ co giãn của cầu (Price Elasticity of Demand)

Độ co giãn của cầu theo giá thường là số âm. Khi mức giá tăng hoặc giảm 1% thì lượng cầu hàng hóa tăng giảm bao nhiêu %. 

Ví dụ 2: Nếu doanh nghệp sản xuất phân bón có eP = -2, điều đó có nghĩa là, khi giá thay đổi 1% thì lượng cầu về hàng hóa giảm 2%.

=> Một lượng thay đổi nhỏ về giá dẫn đến thay đổi lớn về nhu cầu người tiêu dùng.

Có 2 cách đo độ co giãn của cầu 

Phương pháp đo độ co giãn của cầu theo điểm (Point Elasticity) (Tại một mức giá P cụ thể)

Độ co giãn của cầu 1

Ở đây, ta đang phóng đại một điểm (giá tại một điểm trên đường cầu) để phân tích, ΔP tức là thay đổi rất nhỏ trên đường cầu. Vậy, khi sự thay đổi giá tiến tới gần 0 thì (QD/P) tiến tới đạo hàm QD

Ví dụ 3: Doanh nghệp A có đường cầu có dạng QD = – 1,5P + 100, Khi P = 45,

Khi sự thay đổi giá tiến tới gần 0 thì (QD/P) tiến tới đạo hàm QD. Vậy đạo hàm của QD là:

QD = – 1,5P + 100 => Q= -1.5

Vậy độ co giãn là:

QD = -1,5 * 45 +100 = 32,5 => eP = -1,5*(45/32,5) = – 27/13 = -2,08

Khi P = 120, độ co giãn là, QD = -1,5*120 + 100 = -80 => eP = -1,5*(120/-80) = 2,25

độ co giãn của cầu theo giá thường là số âm, để dễ nhận định, chúng ta dùng giá trị tuyệt đối với eP, khi đó:

  • Nếu |eP| > 1: Cầu co giãn → người tiêu dùng phản ứng mạnh với thay đổi giá
  • Nếu |eP| < 1: Cầu không co giãn → thay đổi giá ít ảnh hưởng đến lượng cầu
  • Nếu |eP| = 1: Cầu co giãn đơn vị → thay đổi giá và lượng cầu tương ứng nhau

Mục tiêu:

  • Nếu doanh nghiệp có từ 2 sản phẩm trở lên, doanh nghiệp có thể xác định xem sản phẩm nào nhạy cảm với giá
  • Giúp chúng ta lựa chọn được mức giá phù hợp để tối đa hóa lợi nhuận
  • Nếu lượng cầu chưa đủ, có thể dùng các chương trình khuyến mãi để kích cầu tiêu dùng
  • Dự đoán được tác động của việc tăng giảm giá đến doanh thu

Một số chiến lược cụ thể trong một số ngành nghề thường gặp, chúng ta dựa vào ngành nghề đang làm việc để đưa ra chiến lược phù hợp.

Ngành nghề Mức độ co giãn của cầu Chiến lược đề xuất (về giá)
Sản phẩm thiết yếu (dầu ăn, gạo,…) Cầu ít co giãn Tăng giá nhẹ để tăng lợi nhuận, người tiêu dùng vẫn mua gần như không đổi
Thời trang cao cấp Cầu co giãn cao Giữ giá và tạo ra giá trị thương mại, khi giảm giá có ảnh hưởng đến thương hiệu của doanh nghiệp
Du lịch  Cầu co giãn vừa và cao Giảm giá + chương trình khuyến mãi để kích cầu, cạnh tranh với đối thủ
 Dụng cụ thông minh (điện thoại, TV, điện máy,…) Cầu co giãn cao Giảm giá + khuyến mãi + giá trị cộng thêm, tránh cạnh tranh
Dịch vụ giáo dục (khóa học online, trung tâm ngoại ngữ, …) Cầu co giãn vừa và cao Giá linh hoạt + nội dung chuyên môn sâu + giá trị dịch vụ, thu hút thêm khách có nhu cầu thực sự
Sản phẩm mới ra mắt Cầu co giãn thấp, vừa và cao Chiến lược giá trung bình, sâm nhập, khảo sát thị trường, xây dựng nhóm khách hàng.
Sản phẩm độc quyền, sáng chế Cầu ít co giãn hoặc không co giãn Giá cao để tối ưu hóa lợi nhuận
Sản phẩm theo mùa, cuối năm Cầu co giãn cao Giảm giá + khuyến mãi, kích cầu thu lợi nhuận và giải phóng hàng tồn kho.

Kết luận:

Mức độ co giãn > 1: giảm giá + chương trình khuyến mãi => doanh thu tăng

Mức độ co giãn < 1: Tăng nhẹ giá => Doanh thu tăng

Mức độ co giãn = 1: Thay đổi giá => Doanh thu không đổi

  • Độ co giãn của cầu theo khoảng giá cả

Đây là cách đo lường mức độ phản ứng của lượng cầu khi giá thay đổi trong một khoảng nhất định

Ta có công thức sau:

Độ co giãn của cầu 3

Trong đó:

Q2: Lượng cầu sau khi giá thay đổi

Q1: Lượng cầu ban đầu

P2: Giá sau khi thay đổi

P1: Giá ban đầu

Ví dụ: Khi giá ban đầu P1 = 20, lượng cầu lúc này là Q1 = 80. Giá khi tăng lên P2 = 30, lượng cầu Q2 = 60.

Áp dụng công thức ta có eP = – 0,714. Mức độ co giãn thấp hơn 1, nên cầu ít co giãn.

Những yếu tố có thể ảnh hưởng đến độ co giãn của cầu theo giá:

  • Tính sẵn có của những hàng hóa thay thế

Ví dụ 1: Quần áo, cùng một mức giá có hàng trăm mẫu quần áo, nếu giá tăng cao, lượng cầu về hàng hóa này có xu hướng giảm mạnh. Người tiêu dùng có xu hướng chuyển từ sản phẩm A qua sản phẩm B

  • Tính thiết yếu của hàng hóa

Ví dụ 2: Gạo, muối, thuốc, … mức độ co giãn yếu, lượng cầu về hàng hóa này vẫn tương đương khi chưa tăng giá.

  • Thời gian dài/ ngắn

Ví dụ 3: Giá điện tăng, trong khoảng thời gian 1 tháng sau khi giá điện tăng, người tiêu dùng vẫn còn giữ thói quen dùng điện như khi giá chưa tăng, nhưng sau đó khoảng 2 – 3 tháng, khi họ nhận thức được mình cần tiết kiệm vì giá điện tăng, lúc này, lượng cầu tiê thụ điện mới có xu hướng giảm xuống.

Ví dụ 4: Khi giá xe máy tăng, những người đang có ý định mua xe mới bỏ xe cũ sẽ hoàn thời gian mua xe lại, lượng cầu về xe giảm. Nhưng theo thời gian, khi giá không có dấu hiệu giảm và họ không thể sử dụng được chiếc xe máy vì quá cũ, họ vẫn phải mua xe máy mới về phục vụ nhu cầu, lượng cầu trong tương lai sẽ tăng.

=> Độ co giãn của cầu theo giá giúp doanh nghiệp hoạch định chiến lược giá.

  • Độ co giãn của cầu theo thu nhập (Income Elasticity of Demand)

Gọi I là thu nhập của người tiêu dùng, eI là mức độ co giãn của cầu theo thu nhập. Ta có:

Độ co giãn của cầu 4

Khi thu nhập tăng lên 1% thì lượng cầu hàng hóa tăng hoặc giảm bao nhiêu %.

Có 2 phương pháp tính độ co giãn của cầu theo thu nhập, tương tự như độ co giãn của cầu theo giá. Gồm phương pháp tính độ co giãn của cầu theo thu nhập theo khoảng giá cả và phương pháp tính độ co giãn của cầu theo thu nhập theo điểm.

Khác với độ co giãn của cầu theo giá. Độ co giãn của cầu theo thu nhập được phân tích như sau:

eI > 1 => Thu nhập tăng, cầu về hàng hóa cao cấp tăng, càng giàu có, con người càng thích chi tiêu cho những hàng hóa này. Gọi là hàng hóa xa xỉ.

0 < eI < 1 => Thu nhập tăng hoặc giảm. Cầu về hàng hóa này gần như không co giãn. Gọi là hàng hóa thiết yếu.

eI < 0 => Thu nhập tăng hoặc giảm. Cầu về hàng hóa giảm hoặc tăng. Gọi là hàng hóa thứ cấp.

=> Mức độ co giãn của cầu cho chúng ta biết triển vọng kinh doanh của một sản phẩm trong tương lai. Giúp doanh nghiệp có những quyết định đầu tư hiệu quả.

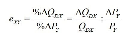
  • Độ co giãn của cầu theo giá chéo (Cross Elasticity of Demand)

Độ co giãn của cầu theo giá chéo cho biết khi giá của sản phẩm A thay đổi, thì lượng cầu của sản phẩm B sẽ thay đổi như thế nào?

Ví dụ: Trà sữa hoặc nước ép trái cây, thịt heo hoặc thịt gà, điện thoại hoặc máy tính laptop

Ta có công thức sau:

Gọi eXY là độ co giãn của cầu theo hàng hóa X theo giá hàng hóa Y

Độ co giãn của cầu 5

Cách tính tương tự như độ co giãn của cầu theo giá (2 phương pháp)

Độ co giãn của cầu theo giá chéo được giải thích như sau:

  • Hàng hóa thay thế: thịt heo hoặc thịt gà. Nếu giá thịt heo tăng, người tiêu dùng có xu hướng chuyển qua mua thị gà, lượng cầu thịt gà tăng. Như vậy, độ co giãn chéo sẽ dương.
  • Hàng hóa bổ sung: Xăng và xe máy. Nếu giá xăng tăng, người tiêu dùng có xu hướng ít sử dụng xe máy, lượng cầu về xe máy giảm. Như vậy, độ co giãn chéo sẽ âm.
  • Hàng hóa độc lập: Bút bi và sữa tươi. Nếu giá bút bi tăng, lượng cầu về sữa sẽ không thay đổi. Như vậy, độ co giãn sẽ gần như bằng 0.

=> Độ co giãn của cầu theo giá chéo giúp doanh nghiệp xây dựng chiến lược cạnh tranh, dự đoán ảnh hưởng của giá đến sản phẩm của doanh nghiệp.

Doanh nghiệp thường sử dụng độ co giãn của cầu theo giá để ra quyết định trong kinh doanh. Tuy nhiên, để đảm bảo tính chắc chắn và giảm thiểu rủi ro, doanh nghiệp có thể sử dụng hai mức độ còn lại.

 

Để lại một bình luận

Email của bạn sẽ không được hiển thị công khai. Các trường bắt buộc được đánh dấu *